parent child
1 70.5 61.7
2 68.5 61.7
3 65.5 61.7
4 64.5 61.7
5 64.0 61.7
6 67.5 62.2
ENVX1002 Statistics in Life and Environmental Sciences
The University of Sydney
Mar 2026

LO1. Demonstrate proficiency in utilizing R and Excel to effectively explore and describe data sets in the life sciences.
LO2. Evaluate and interpret different types of data in the natural sciences by visualising probability distributions and calculating probabilities using RStudio and Excel.
LO3. Apply parametric and non-parametric statistical inference methods to experimental data using RStudio and effectively interpret and communicate the results in the context of the data.
LO4. Apply both linear and non-linear models to describe relationships between variables using RStudio and Excel, demonstrating creativity in developing models that effectively represent complex data patterns.
LO5. Articulate statistical and modelling results clearly and convincingly in both written reports and oral presentations, working effectively as an individual and collaboratively in a team, showcasing the ability to convey complex information to varied audiences.
parent child
1 70.5 61.7
2 68.5 61.7
3 65.5 61.7
4 64.5 61.7
5 64.0 61.7
6 67.5 62.2
We can visually inspect the relationship between the two variables using a scatterplot:
… but this is not a very good way to assess the strength of the relationship between the two variables.
Is the relationship:
The correlation coefficient is a number between -1 and 1 that describes the relationship between two continuous variables.
Pearson’s Correlation (r) Formula:
\[ r = \frac{\sum_{i=1}^n (x_i - \bar{x})(y_i - \bar{y})}{\sqrt{\sum_{i=1}^n (x_i - \bar{x})^2 \sum_{i=1}^n (y_i - \bar{y})^2}} \]
Covariance divided by the product of the standard deviations.
Karl Pearson developed the correlation coefficient in 1800s (based on the work by Francis Galton)

Pearson’s r is:
=CORREL() formula, or use the Analysis Toolpakcor() function
cor(x, y, method = "spearman"))# Generate synthetic data
set.seed(123)
rainfall <- rnorm(100, mean = 50, sd = 10)
plant_growth <- rainfall + rnorm(100, mean = 0, sd = 5)
# Calculate correlation coefficient
correlation_coef <- cor(rainfall, plant_growth)
# Plot data using ggplot2
library(ggplot2)
p1 <- ggplot(data = data.frame(rainfall, plant_growth), aes(x = rainfall, y = plant_growth)) +
geom_point() +
geom_smooth(method = "lm", se = FALSE) +
labs(
title = "Positive correlation",
x = "Rainfall", y = "Crop Yield",
subtitle = paste("Pearson's r: ", round(correlation_coef, 2))
)
# Generate synthetic data
set.seed(123)
insulin <- rnorm(100, mean = 50, sd = 10)
blood_glucose <- 100 - insulin + rnorm(100, mean = 0, sd = 5)
# Calculate correlation coefficient
correlation_coef <- cor(insulin, blood_glucose)
# Plot data using ggplot2
p2 <- ggplot(data = data.frame(insulin, blood_glucose), aes(x = insulin, y = blood_glucose)) +
geom_point() +
geom_smooth(method = "lm", se = FALSE) +
labs(
title = "Negative correlation",
x = "Insulin", y = "Blood Glucose",
subtitle = paste("Pearson's r: ", round(correlation_coef, 2))
)
library(patchwork)
# Set the seed for reproducibility
set.seed(1249)
# Generate the data
x <- rnorm(50, mean = 50, sd = 10)
y <- rnorm(50, mean = 100, sd = 20)
df1 <- data.frame(x, y) # combine the two variables into a dataframe
correlation_coef <- cor(x, y) # calculate the correlation coefficient
# Scatter plot
p3 <- ggplot(df1, aes(x, y)) +
geom_point() +
geom_smooth(method = "lm", se = FALSE) +
labs(
title = "Weak/no correlation",
x = "Shoe Size", y = "IQ",
subtitle = paste("Pearson's r: ", round(correlation_coef, 2))
)
p1 + p3 + p2(Note: not real data)
A weak or nonexistent relationship is one where the correlation coefficient is close to 0.
A moderate relationship falls closer to 0.5.
A strong relationship is one where the correlation coefficient is close to -1 or 1.
The exact values are subjective and vary between fields of study.

Is the relationship:
In words: “There is a moderate positive linear relationship between the height of parents and the height of their children.”
A set of four datasets that are nearly identical in simple descriptive statistics but have very different distributions.
library(tidyverse)
# Compute Pearson, Spearman, and Kendall correlations for each set
cor_values <- anscombe %>%
pivot_longer(everything(),
names_to = c(".value", "set"),
names_pattern = "(.)(.)") %>%
group_by(set) %>%
summarise(
pearson = cor(x, y, method = "pearson"))
# Create the plot with the correlation values added as text annotations
anscombe %>%
pivot_longer(everything(),
names_to = c(".value", "set"),
names_pattern = "(.)(.)") %>%
ggplot(aes(x = x, y = y)) +
geom_point(size = 4) +
facet_wrap(~set, ncol = 4) +
# Add text annotations for Pearson, Spearman, and Kendall correlations
geom_text(data = cor_values, aes(x = 8, y = 4, label =
paste("Pearson: ", round(pearson, 2))),
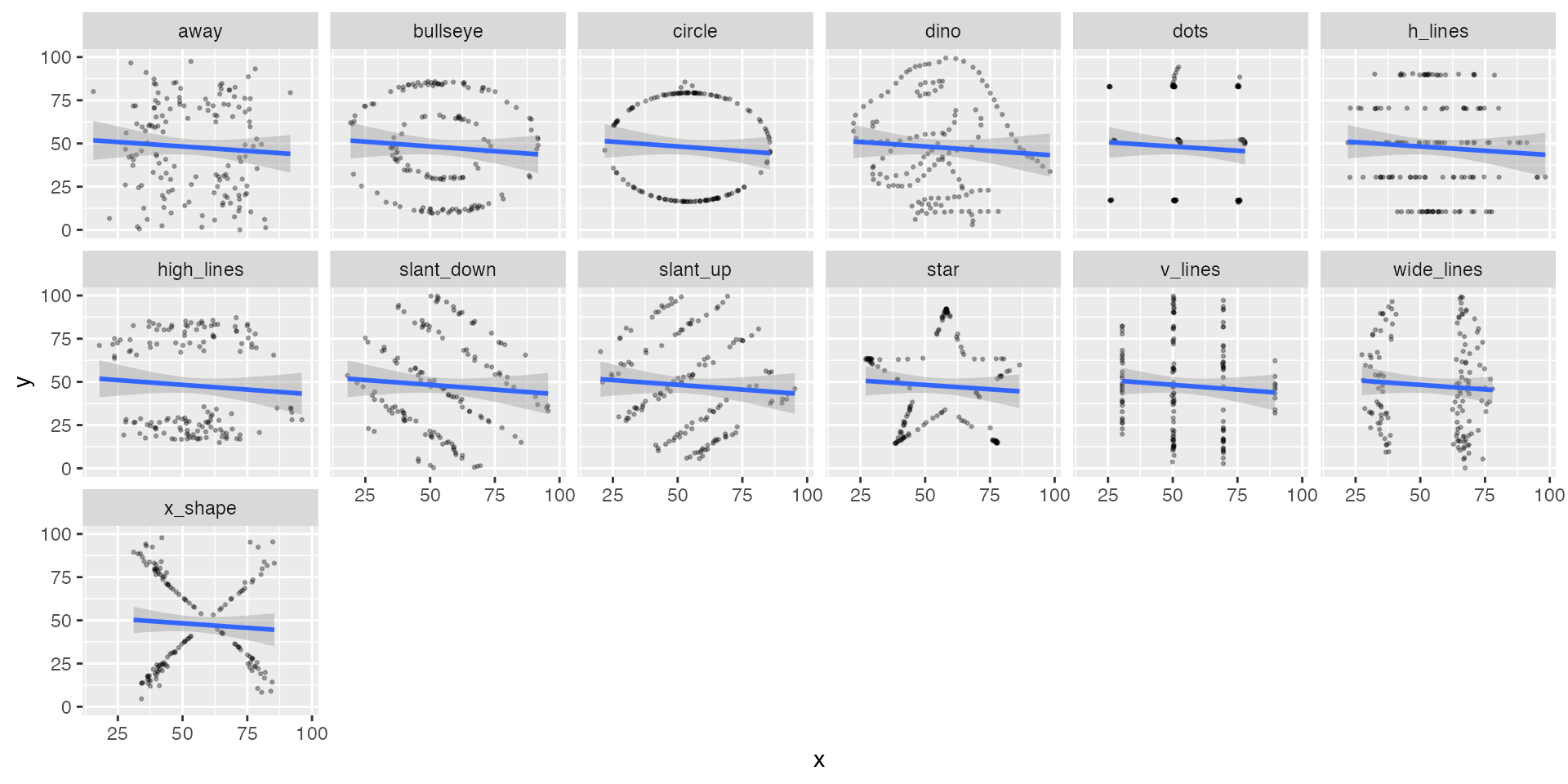
inherit.aes = FALSE, size = 3.5, color = "black", hjust = 0)Correlation coefficients are not reliable in inferring the ‘type’ of relationship between variables – we must visualise.
All of these data have a correlation coefficient close to zero!
Pearson’s correlation is only for linear relationships.
Spearman’s rank and Kendall’s tau are correlation coefficients for all monotonic relationships.
library(tidyverse)
set.seed(123)
x <- seq(0, 10, length.out = 100)
x_length <- length(x)
# Create the data for each relationship
y_straight <- 2 * x + 5
y_exponential <- exp(x)
y_log <- logb(x+1, base = 2)
y_sigmoid <- 1 / (1 + exp(-x))
y_quadratic <- -1 * (x - 5)^2 + 100
y_polynomial <- x^3 - 4 * x^2 + 3 * x + 2
# Function to scale y-values to a specific range [0, 100]
scale_to_range <- function(y_values, new_min = 0, new_max = 100) {
old_min <- min(y_values)
old_max <- max(y_values)
scaled_values <- (y_values - old_min) / (old_max - old_min) * (new_max - new_min) + new_min
return(scaled_values)
}
# Apply scaling to each relationship
y_straight_scaled <- scale_to_range(y_straight)
y_exponential_scaled <- scale_to_range(y_exponential)
y_log_scaled <- scale_to_range(y_log)
y_sigmoid_scaled <- scale_to_range(y_sigmoid)
y_quadratic_scaled <- scale_to_range(y_quadratic)
y_polynomial_scaled <- scale_to_range(y_polynomial)
# Combine the data into a tibble
data <- tibble(
x = rep(x, 6),
y = c(y_straight_scaled, y_exponential_scaled, y_log_scaled, y_sigmoid_scaled, y_quadratic_scaled, y_polynomial_scaled),
type = rep(c("Straight Line", "Exponential", "Log Curve", "Sigmoid Curve", "Quadratic Line", "Polynomial"), each = x_length)
)
# Calculate the correlation coefficients for each relationship type
cor_values <- data %>%
group_by(type) %>%
summarise(
pearson = cor(x, y, method = "pearson"),
spearman = cor(x, y, method = "spearman"),
kendall = cor(x, y, method = "kendall")
)
# Plot the data and add correlation coefficients
ggplot(data, aes(x = x, y = y)) +
geom_line() +
facet_wrap(~type, scales = 'free') +
geom_text(data = cor_values, aes(x = 3, y =25, label =
paste("Pearson: ", round(pearson, 2),
"\nSpearman: ", round(spearman, 2),
"\nKendall: ", round(kendall, 2))),
inherit.aes = FALSE, size = 4, color = "black", hjust = 0) +
theme_minimal()iris Datasetiris DatasetWhich correlation coefficient do we use?
iris Dataset Sepal.Length Sepal.Width Petal.Length Petal.Width
Sepal.Length 1.00 -0.12 0.87 0.82
Sepal.Width -0.12 1.00 -0.43 -0.37
Petal.Length 0.87 -0.43 1.00 0.96
Petal.Width 0.82 -0.37 0.96 1.00
Correlation analysis identifies variables that have a strong linear relationship quickly and easily.
Petal.Width of an iris flowerPetal.Length and Sepal Length would be good predictorsPetal.Length and Sepal Length are strongly correlated - including both would cause multicollinearity – (L11 MLR)Spurious correlations: a relationship between two variables does not imply that one causes the other.
But, we can’t infer causation: - Is there reason() to expect a relationship between the two variables? - Do you have a hypothesis* about the relationship between the two variables?
If we have a hypothesis about the relationship between two variables, we can use regression analysis to test it.
What is the relationship between a response variable \(Y\) and a predictor variable \(x\)?
Common Terms: \(Y\) = response, independent variable, target, outcome etc. \(x\) = predictor, dependent variable, feature, input etc.
How much variation in \(Y\) can be explained by a relationship with \(x\)?
What is the value of \(Y\) for a given value of \(x\)?
Often we can easily measure/obtain \(x\) but not \(Y\), so we need to predict \(Y\) from \(x\).
Many types of regression models exist:
Asking ChatGPT for help with the next slide:
Using R code, can you generate some data that is useful to demonstrate simple linear regression, multiple linear regression, polynomial, exponential and logarithmic regressions in ggplot2?
Sure! Here’s an example code that generates a sample dataset and visualizes it using ggplot2 library in R.
library(ggplot2)
# Generate sample data
set.seed(136)
x <- 1:100
y <- x^2 + rnorm(100, sd = 100)
# Define regression functions
slr <- function(x, y) {
mod <- lm(y ~ x)
return(list(
data.frame(x = x, y = predict(mod), model_type = "Simple Linear Regression"),
paste("y =", round(coefficients(mod)[[2]], 2), "x +", round(coefficients(mod)[[1]], 2))
))
}
mlr <- function(x, y, z) {
mod <- lm(y ~ x + z)
return(list(
data.frame(x = x, z = z, y = predict(mod), model_type = "Multiple Linear Regression"),
paste("y =", round(coefficients(mod)[[3]], 2), "x +", round(coefficients(mod)[[2]], 2), "z +", round(coefficients(mod)[[1]], 2))
))
}
poly_reg <- function(x, y, degree) {
mod <- lm(y ~ poly(x, degree, raw = TRUE))
x_new <- seq(min(x), max(x), length.out = 100)
y_new <- predict(mod, newdata = data.frame(x = x_new))
return(list(
data.frame(x = x_new, y = y_new, model_type = paste("Polynomial Regression (", degree, ")", sep = "")),
paste(paste("x^", degree, sep = ""), ":", paste(round(coefficients(mod), 2), collapse = " + "))
))
}
exp_reg <- function(x, y) {
mod <- lm(log(y) ~ x)
x_new <- seq(min(x), max(x), length.out = 100)
y_new <- exp(predict(mod, newdata = data.frame(x = x_new)))
return(list(
data.frame(x = x_new, y = y_new, model_type = "Exponential Regression"),
paste("y =", round(exp(coefficients(mod)[[2]]), 2), "* e^(", round(coefficients(mod)[[1]], 2), "x", ")")
))
}
log_reg <- function(x, y) {
mod <- lm(y ~ log(x))
x_new <- seq(min(x), max(x), length.out = 100)
y_new <- predict(mod, newdata = data.frame(x = x_new))
return(list(
data.frame(x = x_new, y = y_new, model_type = "Logarithmic Regression"),
paste("y =", round(coefficients(mod)[[2]], 2), "* log(x) +", round(coefficients(mod)[[1]], 2))
))
}
# Create regression line dataframes and equations
reg_data <- list(slr(x, y), mlr(x, y, rnorm(100, sd = 10)), poly_reg(x, y, 3), exp_reg(x, y), log_reg(x, y))
reg_eqs <- sapply(reg_data, function(x) x[[2]])
# Plot the data and regression lines
ggplot(data.frame(x = x, y = y), aes(x, y)) +
lapply(seq_along(reg_data), function(i) geom_line(data = reg_data[[i]][[1]], aes(x, y, color = reg_data[[i]][[1]]$model_type), linewidth = 1.4)) +
ggtitle("Regression Models") +
geom_point(alpha = .2) +
xlab("X") +
ylab("Y") +
scale_color_discrete(name = "Model Type") + # This line adds the title to the legend
ylim(-6000, 15000) +
theme(legend.position = "right") # Modify this to display the legend (default position is 'right')Source: https://www.nature.com/articles/s41598-021-84893-4/figures/1

Adrien-Marie Legendre, Carl Friedrich Gauss, Francis Galton
Note
Many other people contributed to the development of regression analysis, but these three are the most well-known.
When we fit a line, there is error between the observed and predicted values.
\[ \color{firebrick}{\hat{\epsilon_i}} = \color{royalblue}{y_i} - \color{forestgreen}{\hat{y_i}} \] The method of least squares fits a line of best fit by minimising the sum of the squared errors.
\[\color{firebrick} \sum_{i=1}^n ({\hat{\epsilon_i}})^2\]
# simulate example data
set.seed(340)
x <- runif(8, 0, 30)
y <- 5 * x + rnorm(8, 0, 40)
df <- data.frame(x, y)
# fit linear model, add residual vertical lines as arrows
mod <- lm(y ~ x, data = df)
p1 <- ggplot(df, aes(x, y)) +
geom_point() +
geom_segment(aes(xend = x, yend = fitted(mod)),
arrow = arrow(length = unit(0.2, "cm")),
color = "royalblue"
) +
labs(x = "x", y = "y")
p1 +
geom_smooth(method = "lm", se = FALSE, color = "firebrick") +
annotate("text",
x = 6.3, y = -6, size = 7,
label = expression(hat(epsilon[i])), colour = "royalblue"
) +
annotate("text",
x = 5.6, y = 25, size = 7,
label = expression(hat(y[i])), colour = "forestgreen"
) +
annotate("text",
x = 5.6, y = -36, size = 7,
label = expression(y[i]), colour = "firebrick"
) +
theme_classic()
Note
The error is squared so positive and negative errors do not cancel each other out.
Which line fits the data better?
The line is fitted again and again until the squared error stabilises. A computer can do this very quickly!
The goal is to fit the line of best fit between a numerical response and a numerical predictor.
We want to relate the response \(Y\) to a predictor \(x\) for \(i\) number of observations:
\[Y_i = \color{royalblue}{\beta_0 + \beta_1 x_i} +\color{red}{\epsilon_i}\]
where
\[\epsilon_i \sim N(0, \sigma^2)\]
Note
\(\epsilon_i\) is generally associated with the residual (\(observed - predicted\)). True error occurs during data collection (e.g. faulty instruments, selection bias, etc.) and often immeasurable.
Different ways to think about the response:
Two approaches; analytical and numerical:
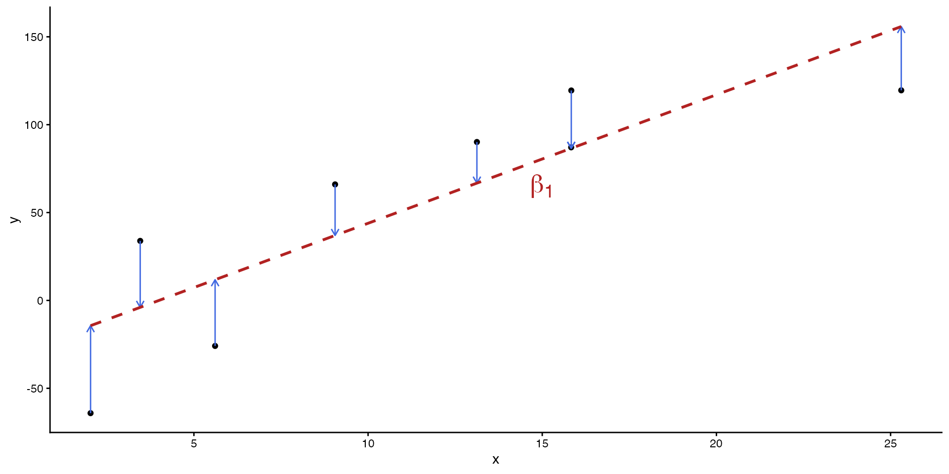
\[ \beta_1 = \frac{\sum_{i=1}^n (x_i - \bar{x})(y_i - \bar{y})}{\sum_{i=1}^n (x_i - \bar{x})^2} = \frac{Cov(x,y)}{Var(x)} = \frac{SS_{xy}}{SS_{xx}} \]
# Calculate slope from df
beta1 <- sum((df$x - mean(df$x)) * (df$y - mean(df$y))) /
sum((df$x - mean(df$x))^2)
# beta0 <- mean(df$y) - beta1 * mean(df$x)
p1 +
geom_smooth(method = "lm", se = FALSE, color = "firebrick", linetype = 2) +
# label the line
annotate("text",
x = 15, y = 65, size = 7,
label = expression(beta[1]), colour = "firebrick"
) +
theme_classic()\[ \beta_0 = \bar{y} - \beta_1 \bar{x} \]
# calculate mean y from df
ybar <- mean(df$y)
xbar <- mean(df$x)
beta0 <- ybar - beta1 * xbar
p1 + geom_vline(xintercept = xbar, linetype = "dashed", color = "slateblue") +
geom_hline(yintercept = ybar, linetype = "dashed", color = "slateblue") +
# label the lines
annotate("text",
x = 25, y = ybar * 0.8, size = 7,
label = expression(bar(y)), colour = "slateblue"
) +
annotate("text",
x = xbar * 1.05, y = 150, size = 7,
label = expression(bar(x)), colour = "slateblue"
) +
geom_smooth(method = "lm", se = FALSE, color = "firebrick", linetype = 2) +
# extend the geom_smooth line to intercept x=0
geom_segment(aes(x = xbar, y = ybar, xend = 0, yend = beta0),
color = "firebrick", linetype = 2
) +
# label the slope line
annotate("text",
x = 15, y = 65, size = 7,
label = expression(beta[1]), colour = "firebrick"
) +
# add a dot at the intercept
geom_point(aes(x = 0, y = beta0), color = "seagreen", size = 3) +
# label the intercept
annotate("text",
x = 0, y = beta0 * 1.4, size = 7,
label = expression(beta[0]), colour = "seagreen"
) +
theme_classic()What can we understand about the relationship between child height and parent height?
Let’s do this in R - much easier
Recap - there appears to be a linear relationship between child height and parent height (plot). This is a moderately positive relationship (correlation).
[1] 0.4587624
null_model <- Galton %>%
lm(child ~ 1, data = .) %>%
broom::augment(Galton)
lin_model <- Galton %>%
lm(child ~ parent, data = .) %>%
broom::augment(Galton)
models <- bind_rows(null_model, lin_model) %>%
mutate(model = rep(c("Null Model", "SLR model"), each = nrow(Galton)))
ggplot(data = models, aes(x = parent, y = child)) +
geom_smooth(
data = filter(models, model == "Null Model"),
method = "lm", se = FALSE, formula = y ~ 1, size = 0.5
) +
geom_smooth(
data = filter(models, model == "SLR Model"),
method = "lm", se = FALSE, formula = y ~ x, size = 0.5
) +
geom_segment(
aes(xend = parent, yend = .fitted),
arrow = arrow(length = unit(0.1, "cm")),
size = 0.3, color = "darkgray"
) +
geom_point(alpha = .2) +
facet_wrap(~model) +
xlab("Parent height (in)") +
ylab("Child height (in)")We fit the model in one simple line of code: fit <- lm(child ~ parent, data = Galton)
And then we can use summary() to get a summary of the model:
Call:
lm(formula = child ~ parent, data = Galton)
Residuals:
Min 1Q Median 3Q Max
-7.8050 -1.3661 0.0487 1.6339 5.9264
Coefficients:
Estimate Std. Error t value Pr(>|t|)
(Intercept) 23.94153 2.81088 8.517 <2e-16 ***
parent 0.64629 0.04114 15.711 <2e-16 ***
---
Signif. codes: 0 '***' 0.001 '**' 0.01 '*' 0.05 '.' 0.1 ' ' 1
Residual standard error: 2.239 on 926 degrees of freedom
Multiple R-squared: 0.2105, Adjusted R-squared: 0.2096
F-statistic: 246.8 on 1 and 926 DF, p-value: < 2.2e-16
Correlation is a measure of the relationship between two numerical variables between -1 and 1.
Regression is an analysis that models the relationship between a dependent variable and independent variable(s).
Next week: interpreting results and assumptions for simple linear regression.
This presentation is based on the SOLES Quarto reveal.js template and is licensed under a Creative Commons Attribution 4.0 International License.